Tanto volte ci è capitato di sentire parlare di pneumatici che “non lavorano nella giusta finestra di utilizzo” in F1, ma cosa è questa benedetta finestra di utilizzo? Andiamo a scoprirlo.

La risposta breve è “l’intervallo di temperatura dove la gomma garantisce il grip massimo“. Bene, articolo finito. Volendo rispondere in maniera più dettagliata invece dobbiamo prima di tutto porci la domanda principale: che cos’è uno pneumatico? Ma prima ancora, che cos’è una ruota? Ma ancora prima: in Mesopotamia facevano già le gare di Formula 1? No forse troppo: partiamo da come è fatto uno pneumatico.

Che cos’è uno pneumatico?
Uno pneumatico è il rivestimento delle ruote che ha il compito di garantire l’aderenza tra una superficie e il mezzo provvisto di ruote. All’interno dello stesso è presente aria in pressione contenuta dentro un involucro di materiale elastico detto camera d’aria. Guardando uno pneumatico in sezione è possibile distinguere le strutture principali che lo compongono e che verranno elencate sotto:

- il tallone è la parte che si aggancia al cerchio e al cui interno scorre una corda fatta di fili metallici intrecciati tra loro
- la carcassa è la struttura resistente composta da fili generalmente di nylon (o kevlar) che possono essere orientati in direzione radiale (perpendicolari alla direzione di moto) o diagonale
- la spalla è la copertura laterale della carcassa e serve per proteggerla. Nelle vettura ad alte prestazioni la spalla è sottoposta a grande stress a causa dei vertiginosi carichi laterali che lo pneumatico deve sopportare
- la cintura è composta da fili di acciaio e serve per aumentare la resistenza dello pneumatico
- il battistrada è la parte di mescola a contatto con l’asfalto ed è quindi la porzione che garantisce l’aderenza tra la vettura e la strada. Nelle vetture stradali è composto da elastomeri quali gomma naturale, stirene-butadiene, butadiene e altri. A questi si aggiungono altri composti per migliorare alcune caratteristiche, ad esempio la silice precipitata per diminuire la resistenza al rotolamento, il nero di carbone per aumentare la resistenza a trazione e usura e altri elementi chimici quali antiossidanti, antiozonanti e altri utili durante il processo di vulcanizzazione
Sotto una galleria di immagini della sezione di uno pneumatico di Formula Uno tagliato dal canale Youtube Driver61.



La formula esatta usata da Pirelli in Formula Uno non è nota, ma è lecito aspettarsi una percentuale maggiore di gomme sintetiche a scapito di quella naturale per soddisfare le caratteristiche di aderenza e resistenza specifiche richiesta da una monoposto ad altissime prestazione come quelle di F1.

La termodinamica di uno pneumatico
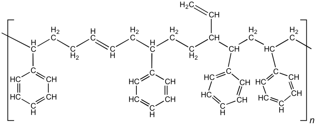
Ora sappiamo che buona parte dello pneumatico è fatta di elastomeri, polimeri come lo stirene-butadiene. Oh, guarda che coincidenza, lo stesso polimero usato per le gomme da cancellare! Non tutte, quelle rosse sopra le matite per esempio. Sì, proprio quelle che distruggevano il foglio, il quaderno e il tavolo prima di cancellare effettivamente qualcosa. Ma se abbiamo imparato qualcosa da quelle cancellature fallimentari è che le gomme quando vengono sfregate con rabbia da un bambino di otto anni sul banco si riscaldano. Lo stesso principio si applica alle gomme di Formula 1: si riscaldano quando vengono sfregate con rabbia sull’asfalto.

Questo non è però l’unico modo in cui far salire la temperatura sugli pneumatici: questi si riscaldano infatti anche grazie all’aria calda proveniente dai freni e dal ciclo di deformazioni a cui è sottoposto lo pneumatico durante la sessione in pista (esattamente come quando maneggiamo in continuazione una gomma da cancellare morbida o allunghiamo e accorciamo in continuazione un elastico). Nell’immagine sottostante presa dallo studio Correction algorithms for WLTP chassis dynamometer and coast-down testing notiamo tutti gli scambi termici che coinvolgono lo pneumatico.

Stimando i contributi di tutte queste fonti di calore con qualche modello di gomma, per esempio il Thermo Racing Tyre model, emerge che il contributo più importante per quanto riguarda il riscaldamento deriva dallo slittamento della ruota rispetto al suolo mentre il più importante per quanto riguarda il raffreddamento deriva dal flusso d’aria che investe lo pneumatico. Poiché la direzione della vettura in curva non coincide con quella degli pneumatici (la forza che permette di curvare è proporzionale proprio all’angolo tra la direzione del veicolo e quella delle ruote detto slip angle) ci sarà sempre uno scivolamento relativo tra gomma e asfalto e di conseguenza generazione di calore. Questa sarà tanto maggiore quanto sarà l’energia messa sulla gomma. Per esempio una Formula 1 che affronta il Pouhon a 290 km/h riscalderà le gomme molto di più di una Hypercar che affronta la stessa curva a 190 km/h, ben 100 km/h in meno! Bene, ora che abbiamo scoperto che una gomma montata su una vettura da competizione che gira all’impazzata in un circuito inevitabilmente si riscalda vediamo come cambiano le sue proprietà con la temperatura.
Effetto della temperatura sui materiali viscoelastici
La gomma degli pneumatici è un materiale viscoelastico, ovvero un materiale che ha alcune proprietà dei solidi (elasticità) e alcune dei liquidi (viscosità). A causa della viscosità del materiale quando questo viene sottoposto a una forza esso non ritorna immediatamente in posizione quando questa forza non è più applicata, ma il ritorno avviene in ritardo. Questo fenomeno è chiamato isteresi e dissipa energia sotto forma di calore. Le proprietà sopra descritte dipendono dalla struttura molecolare della gomma, cioè dalle lunghe catene polimeriche che la compongono, e dipendono dalla temperatura. Nelle immagini sottostanti possiamo vedere come cambiano le proprietà come il modulo elastico (quanta forza devo usare per deformare il materiale in campo elastico) e la dissipazione di energia legata all’isteresi in funzione della temperatura.

La Tg è la temperatura di transizione vetrosa, ovvero la temperatura al di sotto della quale un materiale si comporta da solido amorfo. Per lo stirene-butadiene e altre gomme simili questa temperatura è inferiore ai -40°C, quindi almeno fino a quando non verrà introdotto il GP dell’Antartico o il GP di Siberia la parte sinistra del grafico ci interessa relativamente poco. A temperature maggiori della Tg si nota che il modulo elastico diminuisce con l’aumentare della temperatura, quindi a temperature più elevate la gomma sarà più facile da deformare perché più morbida. Questo influenza l’interazione tra asfalto e pneumatico e di conseguenza il grip dello stesso.
Come funziona l’interazione tra pneumatico e asfalto
Il grip tra pneumatico e asfalto è il risultato dello scivolamento relativo tra la gomma e la strada. Ci sono due meccanismi che contribuiscono al grip totale: l’adesione molecolare e l’effetto della rugosità dell’asfalto. Il primo deriva dall’interazione intermolecolari tra gomma e una superficie attraverso forze di Van der Waals. Le catene che formano la gomma vengono allungate e accorciate mentre vengono creati e spezzati nuovi legami intermolecolari tra molecole di gomma e asfalto (o qualche altra superficie). Questi legami si formano in quelle porzioni di pneumatico dove la distanza tra la gomma e la superficie è inferiori ai micrometri. Tali forze permettono a una gomma di aderire su una superficie molto liscia come il vetro e ai gechi di camminare sui vetri. Il secondo fenomeno comprende l’isteresi della gomma e l’interazione tra la gomma stessa e le asperità dell’asfalto. Quando lo pneumatico scorre su una superficie rugosa infatti la gomma si deforma, ma non fa in tempo ad adattarsi immediatamente a tutte le asperità. Si forma quindi una forza risultante contraria alla direzione di scivolamento.

Prima abbiamo visto che i cicli di deformazione di isteresi disperdono calore, di conseguenza questo riscalda la gomma. Nel grafico precedente si notava anche come all’aumentare della temperatura il modulo elastico della gomma diminuiva, quindi la gomma diventava più facile da deformare. Una gomma più deformabile, cioè più morbida, si insinua più in profondità tra le rugosità dell’asfalto e di conseguenza il grip che deriva dell’interazione tra le asperità stradali e lo pneumatico aumenta. Il grip aumenta con la temperatura finché la gomma non si surriscalda facendo calare nuovamente l’aderenza tra pneumatico e strada.
La finestra di utilizzo degli pneumatici in Formula 1
Facendo un grafico in cui viene rappresentato il grip in funzione della temperatura emergerà quindi una funzione simile a una curva a campana. La parte più in alto indica a quale temperatura viene raggiungo il grip massimo. L’obiettivo dei team che competono in qualsiasi categoria del motorsport è rimanere quanto più vicino possibile a questo massimo e di conseguenza mantenere le gomme in un intervallo di temperatura tale da garantire un valore di grip vicino al grip massimo. Questo intervallo di temperature prende il nome di “finestra di utilizzo“. Ovviamente non tutti gli pneumatici sono gli stessi e non tutte le monoposto sono le stesse. Il grafico del grip in funzione della temperatura varia in base a diversi fattori: sotto possiamo vedere due esempi con numeri inventati e esagerati per accentuare il fenomeno. Nel primo grafico notiamo che per mantenere un coefficiente di aderenza (grip) maggiore di 1.36 dobbiamo rimanere nell’intervallo di temperature tra circa 95°C e 111°C: un intervallo di 16°C. Nel secondo, per avere lo stesso grip, dobbiamo tenere le nostre gomme a una temperatura tra gli 86°C e i 109°C: una finestra di ben 23°C. Nel secondo caso sarà quindi più facile ottenere un’aderenza abbastanza buona in un intervallo più ampio di valori.


Perché la finestra di utilizzo degli pneumatici in F1 è così importante?
Dalle analisi di sensitività del tempo sul giro di una monoposto in funzione di altri parametri come coefficiente di aderenza delle gomme, carico aerodinamico, peso, drag e altro emerge chiaramente che il coefficiente di aderenza è quello più influente. Variando del 10% singolarmente tutti questi parametri infatti il maggior gap sul tempo sul giro si ottiene variando il coefficiente di aderenza. Come se questo non bastasse una variazione del 10% del coefficiente di aderenza è anche una delle variazioni che si vedono più facilmente nelle competizioni. Facendo alcuni esempi con delle variazioni dei parametri di input (carico aerodinamico, peso, ecc…) del 10% otteniamo per esempio una variazione di peso di 80 kg, valore irraggiungibile dal momento che nessun team sfora il peso minimo di così tanto. Oppure una variazione del 10% del carico aerodinamico raggiungibile con centinaia di milioni spesi e mesi e mesi di duro lavoro. Oppure ancora una riduzione del coefficiente di aderenza del 10% (da 1.4 a 1.26) raggiungibilissimo facendo lavorare la gomma qualche decina di gradi sotto al range di temperature ottimale. Dal momento che variazioni di qualche decina di gradi sulle gomme valgono quanto centinaia di milioni spesi in galleria del vento e al CFD non stupisce che la priorità di tutti i team sia far funzionare le gomme nell’intervallo di temperature ottimale. Per avere un’idea di quanto possa variare il coefficiente di aderenza con la temperatura basta vedere gli incidenti avvenuti durante la 6 ore di Spa 2023 subito dopo che le vetture uscivano dai box con gomme fredde a causa dell’assenza delle termocoperte. Delle situazioni pericolosissime che si spera non rivedremo a Le Mans grazie alla reintroduzione di metodi per scaldare gli pneumatici e mandarli subito nella giusta finestra di utilizzo.
Alcune simulazioni sulla finestra di utilizzo degli pneumatici di F1 e non solo
Per avere un’idea di quanto è effettivamente importante la temperatura per quanto riguarda il grip tra pneumatico e asfalto vediamo alcune simulazioni che si trovano in letteratura. Per esempio nel paper Tire multiphysical modeling for the analysis of thermal and wear sensitivity on vehicle objective dynamics and racing performances vengono effettuate alcune simulazioni con un modello più avanzato della già ottima “formula magica” di Pacejka in modo da tenere in conto temperatura e usura dello pneumatico. Alcuni dei dati nello studio sono riportati sotto. Per esempio in questo grafico sono riportati il grip in funzione della temperatura con tre diverse condizioni di temperatura iniziali. Si nota che tra il picco del coefficiente di aderenza di circa 1.1 tra 60°C e 80°C e la gomma surriscaldata a 120 °C c’è una differenza di più del 15%.

Queste grandi differenze di grip sono state modellate nello studio Optimal tyre usage for a Formula One car mediante tre regioni: una a gradiente positivo in cui il grip aumenta con la temperatura, una a coefficiente di aderenza costante assimilabile alla finestra di utilizzo ottimale e una a gradiente negativo in cui il grip diminuisce con l’aumentare della temperatura, ovvero la zona dove gli pneumatici si surriscaldano.

In Optimal tyre management for a high-performance race car invece viene fornito questo grafico sull’usura e il grip in funzione della temperatura basato su dati sperimentali di paper precedenti.


